Yunan Luo (Yao Class 20), advised by Prof. Jianyang Zeng in the Institute for Interdisciplinary Information Sciences (IIIS) at Tsinghua University, recently developed a novel machine learning algorithm for predicting drug-target interactions. The paper of this work has been published in the journal Nature Communications.

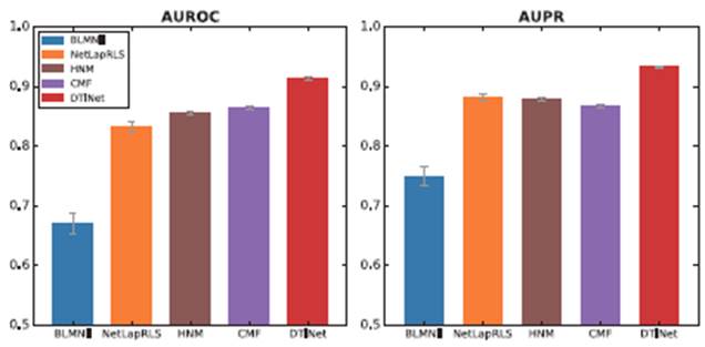
Prediction of drug-target interaction is a crucial step of drug discovery and drug repositioning. Large-scale genomic, chemical and pharmacological data provide new opportunities for drug-target interaction prediction. However, systematic integration of these heterogeneous datasets remains a challenge. Luo’s algorithm, called DTINet, employs a new machine learning approach to integrate these heterogeneous networks. The algorithm represents each drug and gene by compact patterns to remove the background noise of biological data and reveal the topological properties of drugs and genes, which is essential for improving the prediction performance. DTINet was found to outperform several state-of-the-art prediction methods. Furthermore, most of the novel drug-target interactions predicted by DTINet can be supported by known evidence in the literature. In addition, Zeng’s group collaborated with Prof. Ligong Chen’s Lab in the School of Pharmaceutical Science at Tsinghua University to experimentally validate those drug-target interactions that were rarely reported in previous studies. The experimental assays validated the interactions predicted by DTINet between three drugs and two proteins (PTGS1 and PTGS2) and demonstrated new potential applications of these drugs in preventing inflammatory diseases, which provides new insights into drug repositioning.


Nature Communications, with an impact factor 12.124 in year 2016, is a scientific journal published by the Nature Publishing Group. This work is a joint work with Prof. Ligong Chen’s Lab in the School of Pharmaceutical Science at Tsinghua University and Prof. Jian Peng’s Group in the Department of Computer Science at the University of Illinois at Urbana-Champaign. Yunan Luo (Yao Class 20, now a PhD candidate in the University of Illinois at Urbana-Champaign), Xinbin Zhao and Jingtian Zhou (now a PhD candidate in the University of California, San Diego) are the joint first authors, and Jianyang Zeng, Ligong Chen and Jian Peng are the corresponding authors of the paper.
The paper is available at //www.nature.com/articles/s41467-017-00680-8.