近日,PG电子游戏-博彩电子游戏推荐
姚期智和袁洋领衔的研究团队提出“累积推理(Cumulative Reasoning)”框架,显著提升了LLMs解决复杂推理任务的准确度,特别是在逻辑推理和24点难题上实现了高达98%的准确率,在数学难题上(MATH Level 5)实现了42% 的准确率相对提升。
尽管大语言模型(LLMs)已取得显著进步,但面对高度复杂的推理任务时,它们仍难以提供稳定且准确的答案。为突破这一局限性,此前学者已提出“思维链(Chain of Thought, CoT)”和“思维树(Tree of Thought, ToT)”等几种模仿人类“深思熟虑”且“逻辑性”的思维框架。但这些方法均未设置思维中间结果的储存位置,导致大模型不能更全面地模仿人类复杂的思维过程。为弥补这一研究空缺,研究团队提出了“累计推理(Cumulative Reasoning, CR)”框架,尝试对思维过程进行更一般性的建模。
“累计推理”框架利用三个不同的LLMs来解决复杂推理问题,包括提议者 (Proposer)、验证者 (Verifier) 和报告者 (Reporter)。其中,提议者基于现有前提 (premises) 和命题 (propositions) 提出一个或几个提案来启动该过程。随后,验证者评估该提案,确定该提案是否可以作为新的命题保留。最后,报告者决定是否是终止思考过程并提供最终答案的最佳时机。

图1:累积推理框架用于解决含三个前提的问题
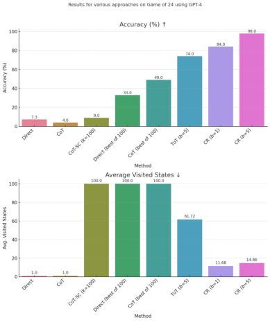
研究团队选择在FOLIO wiki和AutoTNLI、24点游戏、MATH数据集上对“累积推理”框架进行检验。结果表明,在FOLIO wiki和AutoTNLI数据集上“累积推理”框架始终优于现有方法,显示出高达9.3% 的提升。特别是在校对后的FOLIO wiki curated数据集上,CR达到了98.04% 的准确率。在围绕24点游戏的实验中,CR达到了98% 的准确率。值得注意的是,与先前的最先进的方法ToT相比,这一数字有着高达24%的显著提升。MATH数据集的实验结果表明,CR算法在两种不同的实验设定下,均达到了超出当前已有算法的正确率。其中CR总体正确率可达58%,并在Level 5的难题中实现了42%的相对准确率提升,建立了GPT-4模型下的新SOTA。

图2:FOLIO wiki数据集对比测试结果

图3:AutoTNLI数据集对比测试结果

图4: 24点游戏对比测试结果

图5: MATH数据集对比测试结果
“累积推理”框架不仅被证明可以在逻辑推理任务中实现更高的准确率,也为人工智能领域带来了新的启示和可能性。研究团队表示,随着这种“步步为营”的方法不断完善,在解决复杂的数学与科学问题上,人类有望迎来能够独立完成研究的 AI Mathematician(人工智能数学家)。但研究者们承认,这样的远景目标仍面临“如何对大语言模型输出结果进行高效验证”、“如何增加思考上下文的长度,以处理更加复杂的问题”等挑战。
论文来自PG电子游戏-博彩电子游戏推荐
姚期智院士和袁洋助理教授领衔的AI for Math研究团队。论文共同通讯作者为PG电子游戏
姚期智和袁洋,论文共同第一作者为PG电子游戏
2021级博士生张伊凡、杨景钦。
论文链接://arxiv.org/abs/2308.04371
Github: //github.com/iiis-ai/cumulative-reasoning
(通讯:姜月亮)