清华大学量子信息中心孙麓岩副教授研究组和福州大学郑仕标教授合作,首次在单一实验中同时实现了量子延迟选择和量子擦除。该成果的研究论文《基于超导电路的双重量子延迟选择实验》(A twofold quantum delayed-choice experiment in a superconducting circuit)近日发表于科学子刊Science Advances上 【Sci. Adv. 3,e1603159 (2017)】。

图 1. A 经典的延迟选择实验。B 量子延迟选择实验,其中一个分束器的行为受到一个辅助量子比特的控制。 C 基于路径探测器的量子延迟选择实验示意图。通过在双缝干涉实验中引入一个处于“打开”和“关闭”叠加态的路径探测器,粒子能够同时呈现出波动性和粒子性。D 本工作实现的量子延迟选择实验量子逻辑图,其中一个处于薛定谔猫态的腔作为一个量子比特在量子态空间中的路径探测器。
波粒互补性是量子力学的基本特征。量子系统的互补属性相互排斥,无法同时观察到。一个重要例子是光子的波动性和粒子性依赖于测量装置的设置,并且这两种设置是相互排斥的。为了排除经典解释,Wheeler提出了著名的延迟选择的思想实验,这对量子力学基本原理的理解有重要意义。由于该思想实验对实验要求非常苛刻,后来Ionicioiu和Terno【Phys.Rev.Lett.107,230406(2011)】提出了量子延迟选择实验:测量系统的量子相干性可以排除被测系统提前知道测量装置的设置;粒子性和波动性这两种互补的现象可以在同一个实验中被观测到,而且通过调整测量系统的叠加态还可观测到二者之间的连续转化。基于这种重要性,多个研究组竞相在自己的实验平台上验证量子延迟选择。

图 2. 观测到量子比特粒子性到波动性的连续变化。
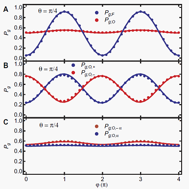
清华大学量子信息中心根据郑仕标教授提出的理论方案,在超导量子系统中实现了一个新颖的量子延迟选择实验(图1):使用了一个独特的设计,利用超导微波腔作为量子路径探测器(WPD)来检测一个超导量子比特在量子态空间中的“路径”信息,而测量系统--经典干涉仪保持在闭合状态。这个WPD可以处于“打开”(采集超导比特的“路径”信息)或“关闭”(不采集)状态,甚至是二者的量子叠加状态。通过调节WPD处于“打开”和“关闭”的权重,粒子性与波动性之间的连续变化可以被观测到(图2)。通过对WPD的“打开”和“关闭”状态进行延迟选择,我们可以在量子比特的状态被检测到之后再来选择它表现为粒子性还是波动性。和已有的量子延迟选择实验相比,该实验的不同和重要之处在于,即使在延迟选择后发现路径探测器处于“打开”状态,仍然可以通过擦除编码在路径探测器上的路径信息,从而重新显示出干涉条纹即波动性(延迟选择量子擦除),实现了一个双重延迟选择实验。该工作一方面展示了对量子相干的精确调控能力,另一方面有很重要的物理意义:被测系统的粒子性和波动性不是其真实属性,它不仅依赖于对WPD状态的延迟选择,而且依赖于我们如何测量WPD以及将测量结果跟已经获得的被测系统的信息进行关联。

图 3. A 量子比特的粒子性和波动性分别对应于路径探测器的“打开”和“关闭”状态,我们在测量了量子比特的状态后才对这两种行为进行选择。 B 通过擦除编码在路径探测器上的路径信息重新观测到量子比特的波动性。 C路径信息被读出时,量子比特只显示出粒子性,并且干涉条纹无法再恢复。
该论文的第一作者为量子信息中心博士生刘可,共同通讯作者为郑仕标教授,段路明教授和孙麓岩副教授,其他作者还包括量子信息中心博士生徐源和王韦婷,副研究员宋祎璞。印度塔塔基础科学研究院Vijay教授为本实验提供了接近量子极限的放大器。
论文链接://advances.sciencemag.org/content/3/5/e1603159